Jalan Kerja Lengkap Jawapan Buku Teks Matematik Tambahan KSSM Tingkatan 4
Bab 8 Vektor
(Latih Diri, Latihan Intensif dan Latihan Pengukuhan)
Jawapan latihan buku teks matematik tambahan tingkatan 4 dengan jalan kerja lengkap
***Klik Gambar untuk Lebih Jelas***
Latih Diri 8.1
Jawapan Latih Diri 8.1
Latih Diri 8.2
Jawapan Latih Diri 8.2
Latih Diri 8.3
Jawapan Latih Diri 8.3
Latih Diri 8.4
Jawapan Latih Diri 8.4
Latihan Intensif 8.1
Jawapan Latihan Intensif 8.1
Latih Diri 8.5
Jawapan Latih 8.5
Latih Diri 8.6
Jawapan Latih Diri 8.6
Latihan Intensif 8.2
Jawapan Latihan Intensif 8.2
Latih Diri 8.7
Jawapan Latih Diri 8.7
Latih Diri 8.8
Jawapan Latih Diri 8.8
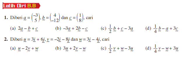
Latih Diri 8.9
Jawapan Latih Diri 8.9
Latih Diri 8.10
Jawapan Latih Diri 8.10
Latihan Intensif 8.3
Jawapan Latihan Intensif 8.3
Latihan Pengukuhan Bab 8
Jawapan Latihan Pengukuhan Bab 8





























































Catat Ulasan