Jalan Kerja Lengkap Jawapan Buku Teks Matematik Tambahan KSSM Tingkatan 5 

Bab 2 Pembezaan

                         

(Latihan Kendiri, Latihan Formatif dan Latihan Sumatif)

Jawapan latihan buku teks matematik tambahan tingkatan 5 dengan jalan kerja lengkap

 ***Klik Gambar untuk Lebih Jelas***


Latihan Kendiri 2.1

latihan kendiri 2.1

Jawapan Latihan Kendiri 2.1

Jawapan Latihan Kendiri 2.1

Jawapan Latihan Kendiri 2.1

Jawapan Latihan Kendiri 2.1

Jawapan Latihan Kendiri 2.1

Jawapan Latihan Kendiri 2.1

Jawapan Latihan Kendiri 2.1

Jawapan Latihan Kendiri 2.1


Latihan Kendiri 2.2
latihan kendiri 2.2

Jawapan Latihan Kendiri 2.2
Jawapan Latihan Kendiri 2.2

Jawapan Latihan Kendiri 2.2

Jawapan Latihan Kendiri 2.2

Jawapan Latihan Kendiri 2.2

Jawapan Latihan Kendiri 2.2
Latihan Formatif 2.1
latihan formatif 2.1

Jawapan Latihan Formatif 2.1

Jawapan Latihan Formatif 2.1

Jawapan Latihan Formatif 2.1

Jawapan Latihan Formatif 2.1

Jawapan Latihan Formatif 2.1

Jawapan Latihan Formatif 2.1

Jawapan Latihan Formatif 2.1

Jawapan Latihan Formatif 2.1

Jawapan Latihan Formatif 2.1

Latihan Kendiri 2.3

latihan kendiri 2.3

Jawapan Latihan Kendiri 2.3

Jawapan Latihan Kendiri 2.3

Jawapan Latihan Kendiri 2.3

Jawapan Latihan Kendiri 2.3

Jawapan Latihan Kendiri 2.3

Latihan Kendiri 2.4

latihan kendiri 2.4


Jawapan Latihan Kendiri 2.4


Jawapan Latihan Kendiri 2.4

Jawapan Latihan Kendiri 2.4

Jawapan Latihan Kendiri 2.4

Jawapan Latihan Kendiri 2.4

Jawapan Latihan Kendiri 2.4

Jawapan Latihan Kendiri 2.4


Latihan Kendiri 2.5

Latihan Kendiri 2.5

Jawapan Latihan Kendiri 2.5

Jawapan Latihan Kendiri 2.5

Jawapan Latihan Kendiri 2.5

Jawapan Latihan Kendiri 2.5

Jawapan Latihan Kendiri 2.5

Jawapan Latihan Kendiri 2.5

Jawapan Latihan Kendiri 2.5

Jawapan Latihan Kendiri 2.5

Jawapan Latihan Kendiri 2.5

Latihan Formatif 2.2

Latihan Formatif 2.2

Latihan Formatif 2.2

Jawapan Latihan Formatif 2.2

Jawapan Latihan Formatif 2.2

Jawapan Latihan Formatif 2.2

Jawapan Latihan Formatif 2.2

Jawapan Latihan Formatif 2.2

Jawapan Latihan Formatif 2.2

Jawapan Latihan Formatif 2.2

Jawapan Latihan Formatif 2.2

Jawapan Latihan Formatif 2.2

Jawapan Latihan Formatif 2.2

Jawapan Latihan Formatif 2.2

Jawapan Latihan Formatif 2.2

Jawapan Latihan Formatif 2.2

Latihan Kendiri 2.6

Latihan Kendiri 2.6

Jawapan Latihan Kendiri 2.6

Jawapan Latihan Kendiri 2.6

Jawapan Latihan Kendiri 2.6

Jawapan Latihan Kendiri 2.6

Jawapan Latihan Kendiri 2.6

Latihan Formatif 2.3

Latihan Formatif 2.3

Jawapan Latihan Formatif 2.3

Jawapan Latihan Formatif 2.3

Jawapan Latihan Formatif 2.3

Jawapan Latihan Formatif 2.3

Jawapan Latihan Formatif 2.3

Jawapan Latihan Formatif 2.3


Latihan Kendiri 2.7

Latihan Kendiri 2.7

Jawapan Latihan Kendiri 2.7


Jawapan Latihan Kendiri 2.7

Jawapan Latihan Kendiri 2.7

Jawapan Latihan Kendiri 2.7

Latihan Kendiri 2.8

Latihan Kendiri 2.8

Jawapan Latihan Kendiri 2.8
Jawapan Latihan Kendiri 2.8

Jawapan Latihan Kendiri 2.8

Jawapan Latihan Kendiri 2.8

Jawapan Latihan Kendiri 2.8

Jawapan Latihan Kendiri 2.8

Jawapan Latihan Kendiri 2.8

Jawapan Latihan Kendiri 2.8

Jawapan Latihan Kendiri 2.8

Jawapan Latihan Kendiri 2.8

Jawapan Latihan Kendiri 2.8

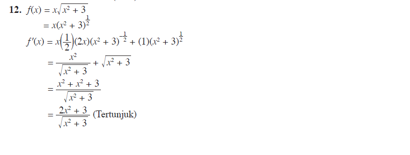
Latihan Kendiri 2.9

Latihan Kendiri 2.9

Latihan Kendiri 2.9

Jawapan Latihan Kendiri 2.9

Jawapan Latihan Kendiri 2.9

Jawapan Latihan Kendiri 2.9





Jawapan Latihan Kendiri 2.9

Jawapan Latihan Kendiri 2.9

Jawapan Latihan Kendiri 2.9

Jawapan Latihan Kendiri 2.9

Jawapan Latihan Kendiri 2.9

Latihan Kendiri 2.10

Latihan Kendiri 2.10

Jawapan Latihan Kendiri 2.10


Jawapan Latihan Kendiri 2.10

Jawapan Latihan Kendiri 2.10

Jawapan Latihan Kendiri 2.10

Jawapan Latihan Kendiri 2.10

Jawapan Latihan Kendiri 2.10

Jawapan Latihan Kendiri 2.10

Jawapan Latihan Kendiri 2.10

Jawapan Latihan Kendiri 2.10

Jawapan Latihan Kendiri 2.10

Jawapan Latihan Kendiri 2.10

Latihan Kendiri 2.11

Latihan Kendiri 2.11

Latihan Kendiri 2.11

Jawapan Latihan Kendiri 2.11

Jawapan Latihan Kendiri 2.11

Jawapan Latihan Kendiri 2.11

Jawapan Latihan Kendiri 2.11

Jawapan Latihan Kendiri 2.11

Latihan Kendiri 2.12

Latihan Kendiri 2.12

Jawapan Latihan Kendiri 2.12

Jawapan Latihan Kendiri 2.12

Jawapan Latihan Kendiri 2.12

Jawapan Latihan Kendiri 2.12

Jawapan Latihan Kendiri 2.12

Jawapan Latihan Kendiri 2.12

Jawapan Latihan Kendiri 2.12

Jawapan Latihan Kendiri 2.12

Latihan Kendiri 2.13

Latihan Kendiri 2.13


Jawapan Latihan Kendiri 2.13

Jawapan Latihan Kendiri 2.13

Jawapan Latihan Kendiri 2.13

Jawapan Latihan Kendiri 2.13

Latihan Kendiri 2.14

Latihan Kendiri 2.14

Jawapan Latihan Kendiri 2.14

Jawapan Latihan Kendiri 2.14

Jawapan Latihan Kendiri 2.14

Jawapan Latihan Kendiri 2.14

Jawapan Latihan Kendiri 2.14


Latihan Kendiri 2.15

Latihan Kendiri 2.15

Jawapan Latihan Kendiri 2.15

Jawapan Latihan Kendiri 2.15

Jawapan Latihan Kendiri 2.15

Jawapan Latihan Kendiri 2.15
Latihan Formatif 2.4

Latihan Formatif 2.4

Latihan Formatif 2.4

Jawapan Latihan Formatif 2.4

Jawapan Latihan Formatif 2.4

Jawapan Latihan Formatif 2.4

Jawapan Latihan Formatif 2.4

Jawapan Latihan Formatif 2.4

Jawapan Latihan Formatif 2.4

Jawapan Latihan Formatif 2.4


Latihan Sumatif 

Latihan Sumatif

Latihan Sumatif

Latihan Sumatif

Latihan Sumatif

Latihan Sumatif

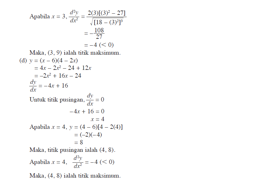
Jawapan Latihan Sumatif 

Jawapan Latihan Sumatif

Jawapan Latihan Sumatif

Jawapan Latihan Sumatif

Jawapan Latihan Sumatif

Jawapan Latihan Sumatif

Jawapan Latihan Sumatif

Jawapan Latihan Sumatif

Jawapan Latihan Sumatif

Jawapan Latihan Sumatif

Jawapan Latihan Sumatif

Jawapan Latihan Sumatif

Jawapan Latihan Sumatif

Jawapan Latihan Sumatif


Related Posts

Post a Comment

Terbaru Lebih lama