Jalan Kerja Lengkap Jawapan Buku Teks Matematik Tambahan KSSM Tingkatan 4
Bab 7 Geometri Koordinat
(Latih Diri, Latihan Intensif dan Latihan Pengukuhan)
Jawapan latihan buku teks matematik tambahan tingkatan 4 dengan jalan kerja lengkap
***Klik Gambar untuk Lebih Jelas***
Latih Diri 7.1
Jawapan Latih Diri 7.1
Latih Diri 7.2
Jawapan Latih Diri 7.2
Latih Diri 7.3
Jawapan Latih Diri 7.3
Latihan Intensif 7.1
Jawapan Latihan Intensif 7.1
Latih Diri 7.4
Jawapan Latih Diri 7.4
Latih Diri 7.5
Jawapan Latih Diri 7.5
Latihan Intensif 7.2
Jawapan Latihan Intensif 7.2
Latih Diri 7.6
Jawapan Latih Diri 7.6
Latih Diri 7.7
Jawapan Latih Diri 7.7
Latih Diri 7.8
Jawapan Latih Diri 7.8
Latih Diri 7.9
Jawapan Latih Diri 7.9
Latihan Intensif 7.3
Jawapan Latihan Intensif 7.3
Latih Diri 7.10
Jawapan Latih Diri 7.10
Latih Diri 7.11
Jawapan Latih Diri 7.11
Latihan Intensif 7.4
Jawapan Latihan Intensif 7.4
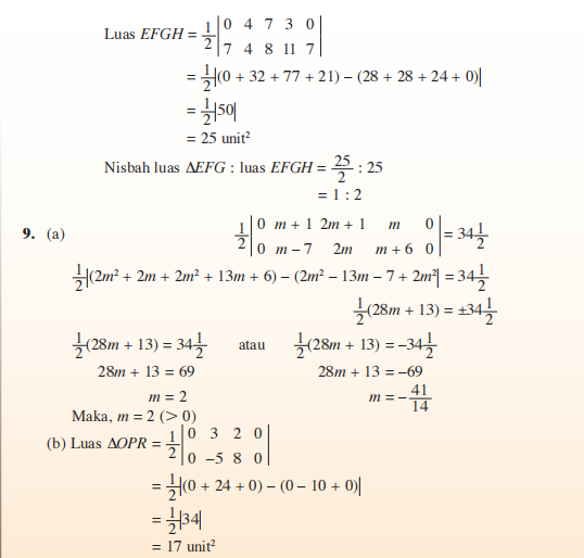
Latihan Pengukuhan
Jawapan Latihan Pengukuhan
































































































Catat Ulasan