Jalan Kerja Lengkap Jawapan Buku Teks Matematik Tambahan KSSM Tingkatan 5 

Bab 3 Pengamiran

                         

(Latihan Kendiri, Latihan Formatif dan Latihan Sumatif)

Jawapan latihan buku teks matematik tambahan tingkatan 5 dengan jalan kerja lengkap

 ***Klik Gambar untuk Lebih Jelas***

Latihan Kendiri 3.1

latihan kendiri 3.1 matematik tambahan

Jawapan Latihan Kendiri 3.1

jawapan latihan kendiri 3.1 matematik tambahan

Latihan Formatif 3.1

latihan formatif 3.1 matematik tambahan

Jawapan Latihan Formatif 3.1
jawapan latihan formatif 3.1 matematik tambahan

jawapan latihan formatif 3.1 matematik tambahan

Latihan Kendiri 3.2
latihan kendiri 3.2 matematik tambahan

Jawapan Latihan Kendiri 3.2
jawapan latihan kendiri 3.2 matematik tambahan

jawapan latihan kendiri 3.2 matematik tambahan

jawapan latihan kendiri 3.2 matematik tambahan

jawapan latihan kendiri 3.2 matematik tambahan

Latihan Kendiri 3.3
latihan kendiri 3.3 matematik tambahan

Jawapan Latihan Kendiri 3.3
jawapan latihan kendiri 3.3 matematik tambahan

jawapan latihan kendiri 3.3 matematik tambahan

jawapan latihan kendiri 3.3 matematik tambahan

Latihan Kendiri 3.4
latihan kendiri 3.4 matematik tambahan

Jawapan Latihan Kendiri 3.4
jawapan latihan kendiri 3.4 matematik tambahan

jawapan latihan kendiri 3.4 matematik tambahan

jawapan latihan kendiri 3.4 matematik tambahan

jawapan latihan kendiri 3.4 matematik tambahan

Latihan Formatif 3.2
latihan formatif 3.2 matematik tambahan

latihan formatif 3.2 matematik tambahan

Jawapan Latihan Formatif 3.2
jawapan latihan formatif 3.2 matematik tambahan

jawapan latihan formatif 3.2 matematik tambahan

jawapan latihan formatif 3.2 matematik tambahan

jawapan latihan formatif 3.2 matematik tambahan

jawapan latihan formatif 3.2 matematik tambahan

jawapan latihan formatif 3.2 matematik tambahan

jawapan latihan formatif 3.2 matematik tambahan

Latihan Kendiri 3.5
latihan kendiri 3.5 matematik tambahan

Jawapan Latihan Kendiri 3.5
jawapan latihan kendiri 3.5 matematik tambahan

jawapan latihan kendiri 3.5 matematik tambahan

jawapan latihan kendiri 3.5 matematik tambahan

jawapan latihan kendiri 3.5 matematik tambahan

jawapan latihan kendiri 3.5 matematik tambahan

jawapan latihan kendiri 3.5 matematik tambahan

Latihan Kendiri 3.6
latihan kendiri 3.6 matematik tambahan

Jawapan Latihan Kendiri 3.6
jawapan latihan kendiri 3.6 matematik tambahan

jawapan latihan kendiri 3.6 matematik tambahan

jawapan latihan kendiri 3.6 matematik tambahan

jawapan latihan kendiri 3.6 matematik tambahan

jawapan latihan kendiri 3.6 matematik tambahan

jawapan latihan kendiri 3.6 matematik tambahan

jawapan latihan kendiri 3.6 matematik tambahan

Latihan Kendiri 3.7
latihan kendiri 3.7 matematik tambahan

Jawapan Latihan Kendiri 3.7
jawapan latihan kendiri 3.7 matematik tambahan

jawapan latihan kendiri 3.7 matematik tambahan

jawapan latihan kendiri 3.7 matematik tambahan

Latihan Formatif 3.3
latihan formatif 3.3  matematik tambahan

latihan formatif 3.3  matematik tambahan

Jawapan Latihan Formatif 3.3 
jawapan latihan formatif 3.3  matematik tambahan

jawapan latihan formatif 3.3  matematik tambahan

jawapan latihan formatif 3.3  matematik tambahan

jawapan latihan formatif 3.3  matematik tambahan

jawapan latihan formatif 3.3  matematik tambahan

jawapan latihan formatif 3.3  matematik tambahan

jawapan latihan formatif 3.3  matematik tambahan

jawapan latihan formatif 3.3  matematik tambahan

jawapan latihan formatif 3.3  matematik tambahan

jawapan latihan formatif 3.3  matematik tambahan

Latihan Kendiri 3.8
latihan kendiri 3.8  matematik tambahan

Jawapan Latihan Kendiri 3.8
jawapan latihan kendiri 3.8  matematik tambahan

jawapan latihan kendiri 3.8  matematik tambahan

jawapan latihan kendiri 3.8  matematik tambahan

Latihan Formaif 3.4
latihan formatif 3.4  matematik tambahan

Jawapan Latihan Formatif 3.4
jawapan latihan formatif 3.4  matematik tambahan

jawapan latihan formatif 3.4  matematik tambahan

jawapan latihan formatif 3.4  matematik tambahan

Latihan Sumatif
latihan sumatif bab 3  matematik tambahan

latihan sumatif bab 3  matematik tambahan

latihan sumatif bab 3  matematik tambahan

latihan sumatif bab 3  matematik tambahan

latihan sumatif bab 3  matematik tambahan

latihan sumatif bab 3  matematik tambahan

Jawapan Latihan Sumatif
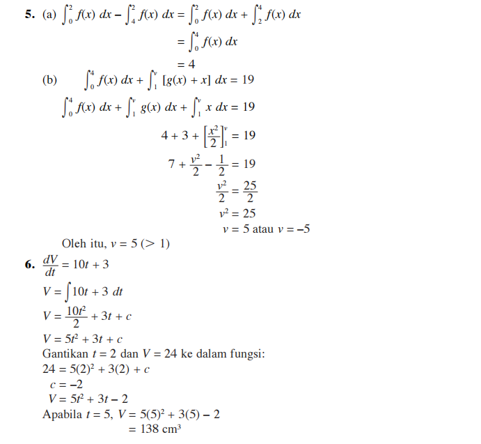
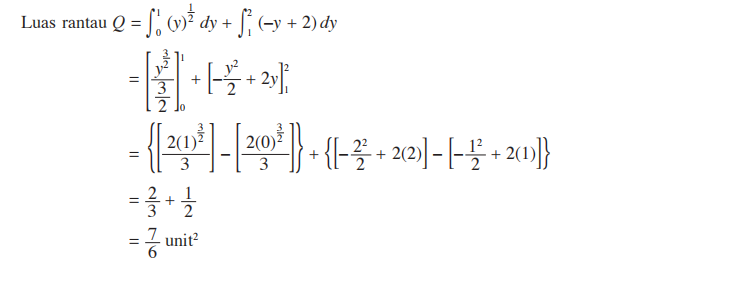
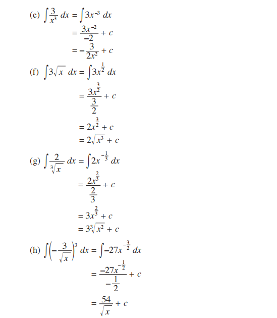
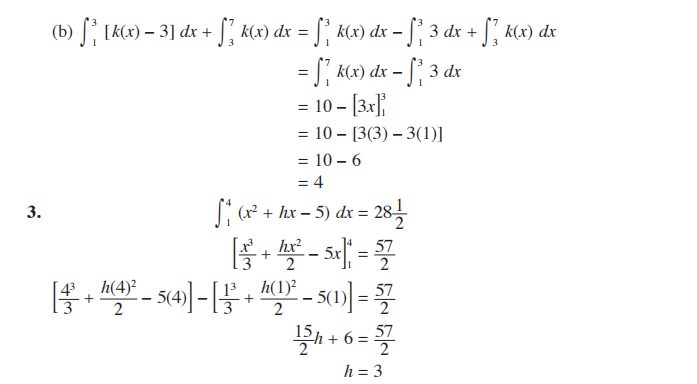
jawapan latihan sumatif bab 3  matematik tambahan

jawapan latihan sumatif bab 3  matematik tambahan

jawapan latihan sumatif bab 3  matematik tambahan

jawapan latihan sumatif bab 3  matematik tambahan

jawapan latihan sumatif bab 3  matematik tambahan

jawapan latihan sumatif bab 3  matematik tambahan

jawapan latihan sumatif bab 3  matematik tambahan

jawapan latihan sumatif bab 3  matematik tambahan

jawapan latihan sumatif bab 3  matematik tambahan

jawapan latihan sumatif bab 3  matematik tambahan

jawapan latihan sumatif bab 3  matematik tambahan

jawapan latihan sumatif bab 3  matematik tambahan



Related Posts

Post a Comment

Terbaru Lebih lama