Jalan Kerja Lengkap Jawapan Buku Teks Matematik Tambahan KSSM Tingkatan 4 

Bab 5 Janjang

  ----->>>kembali ke menu utama                                 ----->>>Bab seterusnya
                                                                                            ----->>>Bab sebelum

(Latih Diri, Latihan Intensif dan Latihan Pengukuhan)

Jawapan latihan buku teks matematik tambahan tingkatan 4 dengan jalan kerja lengkap

 ***Klik Gambar untuk Lebih Jelas***

Latih Diri 5.1

latih diri 5.1 matematik tambahan

latih diri 5.1 matematik tambahan

Jawapan 5.1

jawapan latih diri 5.1 matematik tambahan



Latih Diri 5.2

latih diri 5.2 matematik tambahan

Jawapan Latih Diri 5.2

jawapan latih diri 5.2 matematik tambahan

Latih Diri 5.3

latih diri 5.3 matematik tambahan

latih diri 5.3 matematik tambahan

Jawapan Latih Tubi 5.3

jawapan latih diri 5.3 matematik tambahan

jawapan latih diri 5.3 matematik tambahan

jawapan latih diri 5.3 matematik tambahan

jawapan latih diri 5.3 matematik tambahan

jawapan latih diri 5.3 matematik tambahan

jawapan latih diri 5.3 matematik tambahan

Latih Diri 5.4

latih diri 5.4 matematik tambahan

Jawapan Latih Diri 5.4

jawapan latih diri 5.4 matematik tambahan

Latihan Intensif 5.1

latihan intensif 5.1 matematik tambahan

Jawapan Latihan Intensif 5.1

jawapan latihan intensif 5.1 matematik tambahan

jawapan latihan intensif 5.1 matematik tambahan

jawapan latihan intensif 5.1 matematik tambahan

jawapan latihan intensif 5.1 matematik tambahan

jawapan latihan intensif 5.1 matematik tambahan

Latih Diri 5.5

latih diri 5.5 matematik tambahan

Jawapan Latih Diri 5.5


jawapan latih diri 5.5 matematik tambahan

jawapan latih diri 5.5 matematik tambahan

Latih Diri 5.6

latih diri 5.6 matematik tambahan

Jawapan Latih Diri 5.6

jawapan latih diri 5.6 matematik tambahan

Latih Diri 5.7

latih diri 5.7 matematik tambahan

Jawapan Latih Diri 5.7

jawapan latih diri 5.7 matematik tambahan

jawapan latih diri 5.7 matematik tambahan

Latih Diri 5.8

latih diri 5.8 matematik tambahan

Jawapan Latih Diri 5.8

jawapan latih diri 5.8 matematik tambahan

jawapan latih diri 5.8 matematik tambahan

Latih Diri 5.9

latih diri 5.9 matematik tambahan

Jawapan Latih Diri 5.9

jawapan latih diri 5.9 matematik tambahan

Latihan Intensif 5.2

latihan intensif 5.2 matematik tambahan

Jawapan Latihan Intensif 5.2

jawapan latihan intensif 5.2 matematik tambahan

jawapan latihan intensif 5.2 matematik tambahan

jawapan latihan intensif 5.2 matematik tambahan

jawapan latihan intensif 5.2 matematik tambahan

jawapan latihan intensif 5.2 matematik tambahan

jawapan latihan intensif 5.2 matematik tambahan

Latihan Pengukuhan

latihan pengukuhan bab 5 matematik tambahan

latihan pengukuhan bab 5 matematik tambahan

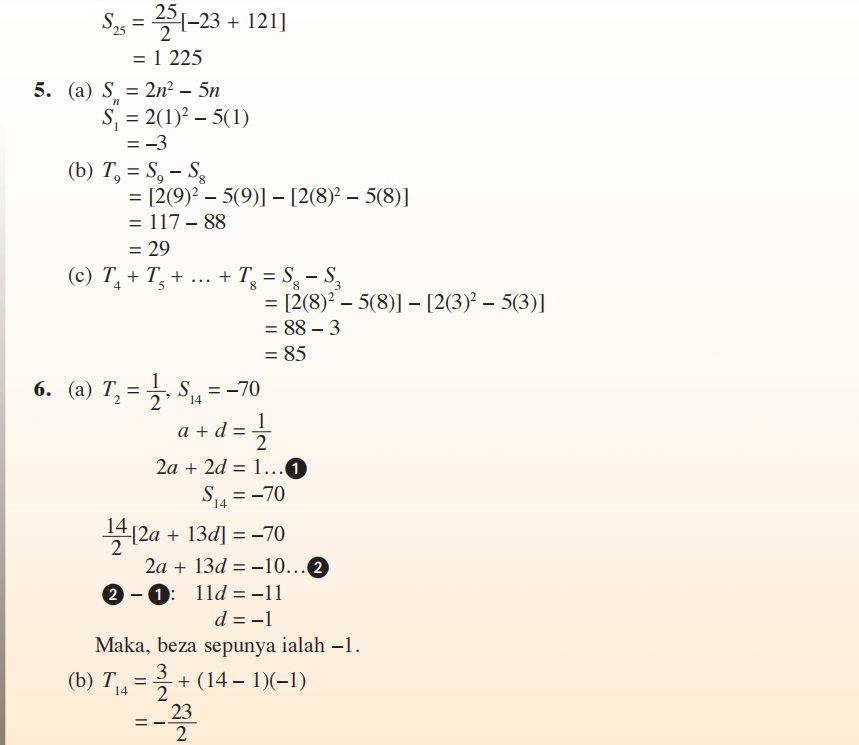
Jawapan Latihan Pengukuhan

jawapan latihan pengukuhan bab 5

jawapan latihan pengukuhan bab 5

jawapan latihan pengukuhan bab 5

jawapan latihan pengukuhan bab 5

jawapan latihan pengukuhan bab 5




Related Posts

Post a Comment

Terbaru Lebih lama